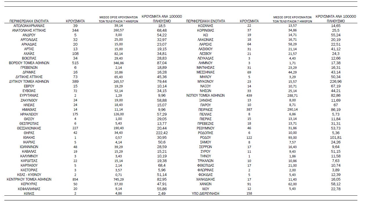
Σταθερός παρέμεινε σχεδόν, σε σχέση με χθες, ο στον αριθμό των κρουσμάτων στην επικράτεια, σε σύγκριση με την Πέμπτη, σύμφωνα με τα όσα ανακοίνωσε ο ΕΟΔΥ. Συνολικά καταγράφτηκαν σε ένα 24ωρο 4.493 κρούσματα, ενώ υπήρξαν και 17 νέοι θάνατοι ασθενών από τον κορονοϊό. Ο αριθμός των ασθενών που νοσηλεύονται διασωληνωμένοι είναι 110.

Αναλυτικά, τα νέα εργαστηριακά επιβεβαιωμένα κρούσματα της νόσου(άτομα) που καταγράφηκαν τις τελευταίες 24 ώρες ήταν 4.493. Ο συνολικός αριθμός των ατόμων που νόσησαν ανέρχεται σε 3.492.268 (ημερήσια μεταβολή +0.1%), εκ των οποίων 48.8% άνδρες.
Ο αριθμός πιθανών νέων επαναλοιμώξεων που καταγράφηκαν τις τελευταίες 24 ώρες ήταν 559 ενώ από την αρχή της πανδημίας SARS-CoV-2 ο συνολικός αριθμός εκτιμάται σε 140.705(3.9% του συνολικού αριθμού των θετικών αποτελεσμάτων).

Οι νέοι θάνατοι ασθενών με COVID-19 είναι 17, ενώ από την έναρξη της επιδημίας έχουν καταγραφεί συνολικά 29.997 θάνατοι. Το 95.6% είχε υποκείμενο νόσημα ή/και ηλικία 70 ετών και άνω.

Ο αριθμός των ασθενών που νοσηλεύονται διασωληνωμένοι είναι 110 (60.9% άνδρες). Η διάμεση ηλικία τους είναι 70 έτη. To 91.8% έχει υποκείμενο νόσημα ή/και ηλικία 70 ετών και άνω. Μεταξύ των ασθενών που νοσηλεύονται διασωληνωμένοι, 51 (46.36%) είναι ανεμβολίαστοι ή μερικώς εμβολιασμένοι και 59 (53.64%) είναι πλήρως εμβολιασμένοι.
Από την αρχή της πανδημίας έχουν εξέλθει από τις ΜΕΘ 4.696 ασθενείς. Οι εισαγωγές νέων ασθενών COVID-19 στα νοσοκομεία της επικράτειας είναι 86 (ημερήσια μεταβολή -15.69%). Ο μέσος όρος εισαγωγών του επταημέρου είναι 91 ασθενείς.
Η διάμεση ηλικία των κρουσμάτων είναι 37 έτη (εύρος 0.2 έως 112 έτη), ενώ η διάμεση ηλικία των θανόντων είναι 80 έτη (εύρος 0.2 έως 106 έτη).

